41 ph poh calculations worksheet

Worksheet 4-3 pH and POH Calculations Name Due Date Total Marks kEY 1, Find the pH Of the following sojutions. you express your answer in the correct number Of significant digits. (tž%arks) a) 3.00 b) 235 x c) 4.678* 10-5M HN03..4.3aq ) 12.0M 13.40 e) 0:20 M

This is a one-page worksheet covering calculations for pH, pOH, H+, and OH-. All the formulas and a pH scale are provided. Students are given one variable for each line and will use the formulas to fill in the remaining three along with identifying each as an acid or base.

PH and pOH calculations Part 1. Acidsbases ph worksheet chemistry review of poh calculations ph and poh calculations chemistry worksheet with answers. Ph and poh worksheet answer key. POH -logOH- -log62 x 10-5 421 pH 1400 pOH 1400 421 979 6 A -solution with a H concentration of 100 x 107 M is said to be neutral.

Ph poh calculations worksheet

Ph poh calculations worksheet

Calculating ph and poh worksheet w 335 everett community college tutoring center student support services program 1 what is the ph of a 0 0235 m hcl solution. 2 what is the poh of a 0 0235 m hcl solution. And now we gift hat you craving quickly. Ph h 3 o 1 poh oh1 acid or base. Chemistry is the study of matter its properties how and why ...

Fill out Ph And Poh Calculations Worksheet in just a few minutes by simply following the instructions listed below: Pick the document template you require from the library of legal form samples. Choose the Get form button to open the document and start editing. Fill in all the necessary boxes (they will be yellow-colored).

Ph and poh calculations worksheet 2. Fill in the missing information in the table below. Once you find your worksheet click on pop out icon or print icon to worksheet to print or download. If the ph is 11 64 and you have 2 55 l of solution how many grams of calcium hydroxide are in the solution.

Ph poh calculations worksheet.

100tps .10] yo Hd suopnps Jo 01 pasgv.1 0 [Jo anpa s! uot pp01,N u10JJ saldurexa Btllsn a.rnpaoo.ld noÅJ! uopnps puy noÁ dn0JB JnoÁ ssnosya

1. Calculate the values of both pH and pOH of the following solutions: pH pOH a. 0.020 M HCl b. 0.0050 M NaOH c. A blood sample 7.2 x 10-8M of H+ d. 0.00035 M KOH 2. Find the values of [H+], pOH, [OH-], that correspond to each of the following pH values: [H+] [OH-] pOH a. pH of lemon juice = 2.90 b. pH of sauerkraut = 3.85 c. pH of milk of magnesia, a laxative = 10.81 d. pH of most orange juices = 4.11

Ph and poh calculations worksheet answers Todd Helmenstine This downloadable PDF worksheet is for students to practice calculating pH and pOH values from concentration values of H+ and OH- ions. Useful relationships:pH = -log[H+]pOH = -log[OH-]kwater = 1 x 10-14 = [H+][OH-]pH + pOH = 14 Review: pH Calculations: Chemistry Quick Review of pH Todd ...

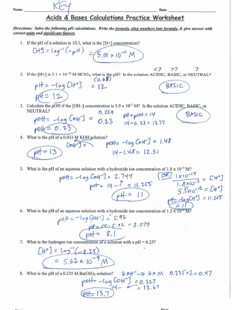
pH + pOH = 14 14-.23 = 13.77. Date Name Acids & Bases Calculations Practice Worksheet Directions: Solve the followingpH calculations. Write the formula, plug numbers into formula, & give answer with correct units If the pH of a solution is 10.3, what is the [H+] concentration? -c

Created Date: 5/4/2015 4:22:28 PM

-], pOH, pH, and/or [H+] p7-10 Recognizing Strong versus Weak Acids; Recognizing Basic versus Nonbasic p3 Recognizing Acid/Base Properties when Ionics are Dissolved in Water p11 pH Calculations; Relationships between pH and pOH p4 Answers p12 K a: Sense + Calculations. Using K a or pK a to Calculate [H+] and/or pH; using pH to calculate K a or pK a

Ph and poh the ph of a solution indicates how acidic or basic that solution is. Ph and poh calculations part 1. Key ph and poh problem set 1 what is the ph of each of the following solutions. Ph h3o1 poh oh1 acid or base. The key for the ph worksheet is a device that is designed to work with the worksheet.

pH = -log [H+]pOH = -log [OH-]pH + pOH = 14

A blood sample 72 x 10-8M of H d. Ph poh h oh calculations worksheet. This downloadable PDF worksheet is for students to practice calculating pH and pOH values from concentration values of H and OH - ions. To calculate the pH you use the formula -log H pH So -log 0001 4 This means the pH of the solution is 4 This calculation is the same for pOH.

Created Date: 5/24/2016 10:23:51 AM

If the pH is 11.64 and you have 2.55 L of solution, how many grams of calcium hydroxide are in the solution? pOH = (14-pH) = (14-11.64) = 2.36[OH-] = 10-pOH = 10-2.36 = 4.4 x 10-3MM = (mol/L)Mol NaOH = (M x L) = (4.4 x 10-3mol/L x 2.55L) = 0.0111Mass NaOH = (0.0111mol x 40g/mol) = 0.445 g. Author.

POH -logOH- -log430 x 10-4 337 pH 14 pOH 14 337 1063 4 If a solution is created by adding water to 230 x 10-4 moles of NaOH and 450 x 10-6 moles of HBr until the final volume is 100 L what is the pH of this solution. Download Acids And Bases Ph Calculations Worksheet doc. POH -logOH-. Calculate the pH of a solution of 00025M H 2SO 4.

Chemistry: pH and pOH Calculations 9th Higher Ed Worksheet ...

Chemistry: ph and poh calculations 9th higher ed worksheet ...

About This Quiz & Worksheet. Students can test their knowledge of calculating the pH or pOH of a solution with this quiz/worksheet. It will provide practice problems and examples and ask questions ...

Solved Acid Base Reactions -pH and pOH calculations Part 1 ...

Solved acid base reactions -ph and poh calculations part 1 ...

Nov 22, 2021 · Ph and poh calculations worksheet answers. 3 a 1 34 x 10 4 m solution of hydrochloric acid. For a ph or poh value the only sig figs are the numbers to the right of the decimal point. Chemistry quick review of ph. If the ph is 11 64 and you have 2 55 l of solution how many grams of calcium hydroxide are in the solution.

Ph and Poh Calculations Chemistry Worksheet With Answers ...

Ph and poh calculations chemistry worksheet with answers ...

Ph and Poh Calculations are a computer-based worksheet that is used for teaching students in secondary school. This worksheet is especially designed to teach students the theory behind numerical calculations, and helps them develop skills in math. This worksheet is available online and works for both Mac and PC.

PH and pOH worksheet

Ph and poh worksheet

PH and pOH Worksheet. Ph and Poh Worksheet Answers Lovely Ph and Poh Worksheet AcidsBases amp. 2 what is the ph and poh of a 2 34 x 10 5 naoh solution. Ph Worksheet Answers. VO5 S9B Printed from Classkick Student. This is a one page worksheet covering calculations for ph poh h and oh. This is a basic solution.

Ph And Poh Calculations Worksheet Answers - Fill Online ...

Ph and poh calculations worksheet answers - fill online ...

KEY Chemistry: pH and pOH calculations Part 1: Fill in the missing information in the table below. pH [ H 3 O 1+] pOH [ OH1–] ACID or BASE? 3.78 1.66 x 10–4 M 10.22 6.03 x 10–11 M Acid 3.41 3.89 x 10–4 M 10.59 2.57 x 10–11 M Acid 8.81 1.55 x 10–9 M 5.19 6.46 x 10–6 M Base 8.69 2.04 x 10–9 M 5.31 4.88 x 10–6 M Base 8.46 3.47 x 10–9 M 5.54 2.88 x 10–6 M Base

pH and pOH

Ph and poh

The pH is given by the equation . Since hydrochloric acid is monoprotic, the concentration of the solution is equal to the concentration of protons. Using this value and the pH equation, we can calculate the pH. Now we can find the pOH. The sum of the pH and the pOH is always 14. The pOH of the solution is 7.8.

The pH Scale -- Calculations with pH and pOH -- Notes and ...

The ph scale -- calculations with ph and poh -- notes and ...

Sep 15, 2021 · Here is a very useful worksheet on calculating the pH and pOH of acids and bases I have included a log table for you convenience. Ph and poh ph and poh denote the negative log of the concentration of hydrogen or hydroxide ions. Acids And Bases Worksheet Ph. Human taste receptors coupled with smell receptors have evolved. -log 301 x 10-3.

Chem 12 - WS4.5 (pH and pOH)

Chem 12 - ws4.5 (ph and poh)

Calculating ph and poh worksheet w 335 everett community college tutoring center student support services program 1 what is the ph of a 0 0235 m hcl solution. So ph 4 73 has 2 sig figs. Ph h 3 o 1 poh oh1 acid or base. For a ph or poh value the only sig figs are the numbers to the right of the decimal point.

pH and pOH Calculations Worksheet2.doc - NAMES DATE CLASS pH ...

Ph and poh calculations worksheet2.doc - names date class ph ...

pH and pOH Calculations. Find the pH and the pOH of the solution. pH; pOH; 1. A 0.023 M solution of perchloric acid (HClO. 4) pH = -log(0.023) pH = 1.638 1.6. pOH = 14 – 1.6. ... pOH = -log(0.01)pH = 14 - 2. pOH = 2pH = 12 . 18. 0.001 M strontium hydroxide . Sr(OH) 2. pOH = -log(0.002)pH = 14 – 2.69. pOH = 2.69pH = 11.3. 19. 0.005 M ...

Dougherty Valley HS Chemistry Name: pH and pOH

Dougherty valley hs chemistry name: ph and poh

Nov 30, 2018 · Todd Helmenstine. This downloadable PDF worksheet is for students to practice calculating pH and pOH values from concentration values of H + and OH - ions. Useful relationships: pH = -log [H +] pOH = -log [OH -] k water = 1 x 10 -14 = [H + ] [OH -] pH + pOH = 14. Review: pH Calculations: Chemistry Quick Review of pH.

Acids and Bases Calculations Practice Worksheet KEY | PDF

Acids and bases calculations practice worksheet key | pdf

pH = -log[H3O+] = -log[1*10-7 M] = 7 The pH of the solution is 7. This makes sense because this is a neutralization reaction where the acid and base are added in the same amounts and cancel each other out. You could arrive at this result without doing the actual pH calculation above because we know that pure water is neutral and has a pH of 7.

Lembar Kerja Praktek pH dan pOH

Lembar kerja praktek ph dan poh

Title: Microsoft Word - 11-11a,b pH calculations wkst-Key.doc Author: Brent White Created Date: 7/16/2005 11:54:02 PM

concentration calculations worksheet answers

Concentration calculations worksheet answers

Ph worksheet. Ph displaying top 8 worksheets found for ph. 1 what is the ph of a 0 0235 m hcl solution. 5 types of worksheets are included. Ph worksheet 3 solutions note. This worksheet is for students to practice calculating ph and poh.

pH Calculation Worksheet

Ph calculation worksheet

Calculating pH and pOH worksheet W 335 Everett Community College Tutoring Center Student Support Services Program 1) What is the pH of a 0.0235 M HCl solution? 2) What is the pOH of a 0.0235 M HCl solution? 3) What is the pH of a 6.50 x 10-3 M KOH solution? (Hint: this is a basic solution - concentration is of OH-)

pH and pOH Calculations Worksheet

Ph and poh calculations worksheet

Calculations of pH, pOH, [H+] and [OH-] | Teaching chemistry ...

Calculations of ph, poh, [h+] and [oh-] | teaching chemistry ...

pH and pOH Practice Worksheet

Ph and poh practice worksheet

pH and pOH Calculations Worksheet - Worksheet Template Tips ...

Ph and poh calculations worksheet - worksheet template tips ...

Print Free pH Practice Worksheets | Practices worksheets ...

Print free ph practice worksheets | practices worksheets ...

pH Calculation Worksheet

Ph calculation worksheet

pH and pOH Calculations Worksheet2 (1) (1).doc - NAMES DATE ...

Ph and poh calculations worksheet2 (1) (1).doc - names date ...

Part 2: For each of the problems below, assume 100 ...

Part 2: for each of the problems below, assume 100 ...

pH and pOH Calculations Worksheet - YouTube

Ph and poh calculations worksheet - youtube

Ph And Poh Worksheet - Fill Online, Printable, Fillable ...

Ph and poh worksheet - fill online, printable, fillable ...

Untitled

Untitled

Chemistry 12 Worksheet 4-3 pH and pOH Calculations

Chemistry 12 worksheet 4-3 ph and poh calculations

Solved pH and pOH Calculations Worksheet #1 #1-5 Determine ...

Solved ph and poh calculations worksheet #1 #1-5 determine ...

Chemistry: pH and pOH Calculations 9th Higher Ed Worksheet ...

Chemistry: ph and poh calculations 9th higher ed worksheet ...

Ph And Poh Calculations - Lessons - Blendspace

Ph and poh calculations - lessons - blendspace

pH and pOH Calculations Worksheet

Ph and poh calculations worksheet

pH and pOH - Senior Chemistry @ Saints

Ph and poh - senior chemistry @ saints

pH and pOH calculations practice worksheet.doc - Google Drive

Ph and poh calculations practice worksheet.doc - google drive

Calculating pH and pOH worksheet

Calculating ph and poh worksheet

Ph and Poh Worksheet Homeschooldressage.com - Worksheet ...

Ph and poh worksheet homeschooldressage.com - worksheet ...

Ph and Poh Calculations Chemistry Worksheet With Answers ...

Ph and poh calculations chemistry worksheet with answers ...

pH and pOH Calculations Worksheet - Google Drive

Ph and poh calculations worksheet - google drive

Chemistry 12 Worksheet 4-3 pH and pOH Calculations

Chemistry 12 worksheet 4-3 ph and poh calculations

pH Worksheet_Solutions.docx - Name_KEY Chemistry pH and pOH ...

Ph worksheet_solutions.docx - name_key chemistry ph and poh ...

Lembar Kerja Praktek pH dan pOH

Lembar kerja praktek ph dan poh

chem.docx - Chemistry pH and pOH calculations Part 1 Fill in ...

Chem.docx - chemistry ph and poh calculations part 1 fill in ...

0 Response to "41 ph poh calculations worksheet"

Post a Comment

Iklan Atas Artikel

Iklan Tengah Artikel 1

Iklan Tengah Artikel 2

Iklan Bawah Artikel