40 inverses of functions worksheet

©F UKauztmaf xS8osftvw4a5roer OLyLzCw.c D OALlhlU hrriVgmhzt0s8 7rrePsXeLrtvbe6dv.3 f nMUapdIeA WwOictchH FIvnNfriIn YiXtSea WATlagEeabXrWa1 32N.f Worksheet by Kuta Software LLC College Algebra ID: 1 Name_____ Inverse Function Worksheet Date_____ Period____ Find the inverse of each function. 1) g(x) = − 1 Worksheet –Inverses of Functions/ More Domain & Range State the inverse of each relation 1. Given the ordered pairs: ^ 3 2 0 1 5 4, ` the inverse points are: _____ Graph the inverse. Is this an example of an inverse function? _____ 2. Given the table: the inverse is: ...

3.(a)Graph the functions f(x) = 2x and g(x) = 2 x and give the domains and range of each function. (b)Determine if each function is one-to-one. Determine if each function is increasing or decreasing. (c)Graph the inverse function to f. Give the domain and range of the inverse function.

Inverses of functions worksheet

Inverses of functions worksheet

Finding Inverses Find an equation for the inverse for each of the following relations. 3. y 3x 2 4. y 5x 7 5. y 12x 3 6. y 8x 16 7. x 5 3 2 y 8. x 5 4 3 y 9. x 10 8 5 y 10. x 8 2 1 y 11. y x2 5 12. y x 2 4 13. y (x 3) 14. y (x 6)2 15. y x 2, y t 0 16. y x 5, y t 0 17. y x 8, y t 8 18. y x 7, y t 7 Verifying Inverses Verify that f and g are ... Microsoft Word - 2.6 inverse of a function worksheet.docx Author: Trevor Jensen Created Date: 10/3/2014 7:04:52 PM ... Inverse Functions Worksheet - Concept - Problems with step by step solutions. INVERSE FUNCTIONS WORKSHEET. 1. Find the inverse of the function f(x) = 2x + 3. 2.

Inverses of functions worksheet. -2- Worksheet by Kuta Software LLC Find the inverse of each function. Then graph the function and its inverse. 11) f (x) x x y 12) f(x) x x y 13) g(x) x x y 14) g(n) n x y Critical thinking questions: 15) Give an example of a function that doesn't have an inverse. In this worksheet, we will practice finding the inverse of a function by changing the subject of the formula. Inverse Functions Worksheet with Answers. admin July 5, 2019. Some of the worksheets below are Inverse Functions Worksheet with Answers, Definition of an inverse function, steps to find the Inverse Function, examples, Worksheet inverse functions : Inverse Relations, Finding Inverses, Verifying Inverses, Graphing Inverses and solutions to ... For each function, find the equation of its inverse. 5. f x( ) =3x −1 6. 3 2 1 f x( ) = x + 7. 2)f x( ) =4( x − 8. 2 3 ( ) = + x f x Find the equation of the inverse function. Use composition to verify that the functions are inverses of each other. SHOW AND LABEL ALL WORK!!!! 9. 2f x( ) =3x − 10. 4 2 1 g x( ) = x +

Inverse Function Worksheets Our compilation of printable inverse function worksheets should be an obvious destination, if practicing undoing functions or switching input and output values is on your mind. 5. Use composition of functions to determine if the pair of functions are inverses of each other. (a) f(x) = 1 x and g(x) = 1 x (b) h(x) = 3x +2 7 and j(x) = 7x 2 3 (c) k(x) = p 3x 3 and m(x) = x3 +27 6. Find the equation of the unique quadratic function with the following properties and graph Inverse Functions Worksheet ( - 2 , 4 ) Inverse ( 4 , - 2 ) ( 4 , 7 ) Inverse ( 7 , 4 ) ( 0 , 11 ) Inverse ( 11 , 0 ) ( - 3 , - 8 ) Inverse ( - 8 , - 3 ) ( 10, 10 ) Inverse ( 10 , 10 ) Show the inverse mapping - inverse mapping is in pink 6. Find the algebraic inverse. 7. 8. 9. 10. 11. Graph the inverse of the given function. 12. Function Inverse functions and logarithms. Some of the worksheets below are inverse functions worksheet with answers definition of an inverse function steps to find the inverse function examples worksheet inverse functions. 11 f x x x y 12 f x x x y 13 g x x x y 14 g n n x y critical thinking questions.

Displaying all worksheets related to - Inverses Of Linear Functions. Worksheets are Inverses of linear functions date period, Work 1 functions and inverse functions, Work inverse functions inverse relations find the, Inverse of functions work, Function inverses date period, Function inverses date period, A guide to functions and inverses, Functions and their inverses. Restrict the domain of f(x) so that f-1(x) is a function. 4. Graph f(x) = |x3 - 1| and its inverse. Restrict the domain of f(x) so that f-1(x) is a function. 5. Which of the following functions are 1-1? For each of the functions find the inverse and, if necessary, restrict the domain of the original function so that the inverse is a function. Graphing Inverse Functions Worksheet. Give acceptance convenance analytic one-step inequalities application changed operations and graphing the solution sets! In this seventh-grade algebra worksheet, acceptance will analysis the accomplish to solve inequalities and apprentice how to blueprint the band-aid on a cardinal band to represent all accessible solutions. Inverse functions worksheet with answers. Identifying functions worksheets are up for grabs. Equip 8th grade and high school students with this printable practice set to assist them in analyzing relations expressed as ordered pairs, mapping diagrams, input-output tables, graphs and equations to figure out which one of these relations are ...

My title

My title

10.3 Practice - Inverse Functions State if the given functions are inverses. 1) g(x)= − x5 − 3 f(x)= 5 − x − 3 √ 3) f(x)= − x − 1 x − 2 g(x)= − 2x +1 − x − 1 5) g(x)= − 10x +5

4.3 Worksheet - Derivatives of Inverse Functions

4.3 Worksheet - Derivatives of Inverse Functions

There are also inverse function worksheets based on Edexcel, AQA and OCR exam questions, along with further guidance on where to go next if you're still ...

Function Composition Worksheet Answers | Worksheet template ...

Function Composition Worksheet Answers | Worksheet template ...

Worksheet 7 4 inverse functions inverse relations find the inverse for each relation. Then graph the function. We will make use of the fact that the mathematical function of x is approximately equal to the sum of the geometric series of y. The answers are all displayed. A d2q0 h1d2c ek fu st uas bs 6o wfyt8w na frveg ol2lfc0.

Lesson Worksheet:Graphs of Inverses of Functions | Nagwa

Lesson Worksheet:Graphs of Inverses of Functions | Nagwa

Inverse Functions Worksheet Inverse Functions Worksheet Name: ______________ The given coordinates are on f(x), find the coordinates for f-1(x). 1. ( - 2 , 4 ) 2. ( 4 , 7 ) 3. ( 0 , 11 ) 4. ( - 3 , - 8) Find the algebraic inverse. 5. 6. 7. 8. Graph the inverse of the given function. 9. Function Points ( - 2 , - 4 ) ( 0 , 1 ) ( 2 , 6 ) 10.

Solved 1-2 L-a | Practice Worksheet Composition and inverses ...

Solved 1-2 L-a | Practice Worksheet Composition and inverses ...

©S 6KRuRtZaq 1SpoKfotdwua7rzeB eLNLZC0.t z nAYlsl 1 YrAirg2hjt psk irheJsOeQr1vze4dO.A Y 7MFagdEer WwRiCtMhb DIvnbfVimn8iLt1eK VAglJghefblr XaZ 32k.v Worksheet by Kuta Software LLC Algebra 2 ID: 1 Name_____ Inverses of Linear Functions Date_____ Period____ Find the inverse of each function. 1)

Functions and inverse functions | Teaching Resources

Functions and inverse functions | Teaching Resources

Inverses as Functions 4. In the previous problem, the graph of the inverse relation was not a function (evident by the fact that it does not pass the vertical line test). However, the original relation was a function (as it does pass the vertical line test). a. Describe how you might test the graph of a relation to see if its inverse is a function.

CBSE Class 12 Mathematics Inverse Trigonometric Functions ...

CBSE Class 12 Mathematics Inverse Trigonometric Functions ...

Worksheet 1.6A, Inverse functions MATH 1410 1.Find the inverse function of f(x). State the domain of the inverse function f 1(x): (a) f(x) = 2x+ 4 (b) f(x) = 2(x+ 4) (c) f(x) = 3(x 7) + 5 (d) f(x) = x2 4 (e) f(x) = x3 + 7 (f) f(x) = (x+ 7)3 2.For each function f(x), below, nd a domain on which f is one-to-one and then create an inverse function ...

Composite Function and Inverse Function Worksheets | Teaching ...

Composite Function and Inverse Function Worksheets | Teaching ...

Inverse Functions Worksheet With Answers. Inverse Functions Worksheet With Answers. Pleasant to be able to the blog, on this occasion I will explain to you regarding Inverse Functions Worksheet With Answers. Why not consider impression earlier mentioned? is usually that incredible???. if you believe therefore, I'l d teach you several impression all over again down below: So, if you desire ...

CBSE Class 12 Mathematics Inverse Trigonometry Worksheet Set A

CBSE Class 12 Mathematics Inverse Trigonometry Worksheet Set A

Displaying top 8 worksheets found for - Inverse Linear Functions. 2 3 3. The function fx 3 - 12 is shown on the graph. Y x 2 4 13. Inverse Functions Worksheet 1 Find a table of values for each function and its inverse. Name date season pdf pass chapter 6 14 glencoe algebra 2.

Inverse of Quadratic Function - ChiliMath

Inverse of Quadratic Function - ChiliMath

This worksheet ( with solutions) helps students take the first steps in their understanding and in developing their skills and knowledge of finding the Inverse of a Function. Questions are carefully planned so that understanding can be developed, misconceptions can be identified and so that there is progression both across and down the sheet.

Worksheet #2 Composition of Inverses Part the properties of ...

Worksheet #2 Composition of Inverses Part the properties of ...

©A D2Q0 h1d2c eK fu st uaS bS 6o Wfyt8w na FrVeg OL2LfC0. C l XARlZlm wrhixgCh itQs B HrXeas Le rNv 1eEd H.u n kMua5dZe y SwbiQtXhj SI9n 2fEi Pn Piytje J cA NlqgMetbpr tab Q2R.R Worksheet by Kuta Software LLC 13) g(x) = 7x + 18 2 14) f (x) = x + 3 15) f (x) = −x + 3 16) f (x) = 4x Find the inverse of each function. Then graph the function ...

WORKSHEET 7.4 INVERSE FUNCTIONS Inverse Relations Find 7.4 ...

WORKSHEET 7.4 INVERSE FUNCTIONS Inverse Relations Find 7.4 ...

(+) Produce an invertible function from a non-invertible function by restricting the domain. WORKSHEETS, AII. Regents-Inverse of Functions 1a. AII/B/SIII

Solved Lite Worksheet Composition and inverses of Functions ...

Solved Lite Worksheet Composition and inverses of Functions ...

Some of the worksheets below are inverse functions worksheet with answers definition of an inverse function steps to find the inverse function examples worksheet inverse functions. By using this fact we can get the value of x by subtracting the value of y from the first term in the series. Y x 7 y t 7 verifying inverses verify that f and g are ...

Solved 1-2, Practice Worksheet Composition and Inverses of ...

Solved 1-2, Practice Worksheet Composition and Inverses of ...

Showing top 8 worksheets in the category function and inverse. Some of the worksheets below are inverse functions worksheet with answers definition of an inverse function steps to find the inverse function examples worksheet inverse functions. Worksheet 7 4 inverse functions together with 100 free downloadable algebra 2 worksheet answers prentice.

Inverse Function Partner Share – mathcoachblog

Inverse Function Partner Share – mathcoachblog

Inverse Functions Worksheet - Concept - Problems with step by step solutions. INVERSE FUNCTIONS WORKSHEET. 1. Find the inverse of the function f(x) = 2x + 3. 2.

Inverse Functions Worksheet

Inverse Functions Worksheet

Microsoft Word - 2.6 inverse of a function worksheet.docx Author: Trevor Jensen Created Date: 10/3/2014 7:04:52 PM ...

Math Exercises & Math Problems: Inverse Function

Math Exercises & Math Problems: Inverse Function

Finding Inverses Find an equation for the inverse for each of the following relations. 3. y 3x 2 4. y 5x 7 5. y 12x 3 6. y 8x 16 7. x 5 3 2 y 8. x 5 4 3 y 9. x 10 8 5 y 10. x 8 2 1 y 11. y x2 5 12. y x 2 4 13. y (x 3) 14. y (x 6)2 15. y x 2, y t 0 16. y x 5, y t 0 17. y x 8, y t 8 18. y x 7, y t 7 Verifying Inverses Verify that f and g are ...

Quiz & Worksheet - Inverse Functions | Study.com

Quiz & Worksheet - Inverse Functions | Study.com

Unit 5c Inverse Trig Functions Worksheet Answers - Fill ...

Unit 5c Inverse Trig Functions Worksheet Answers - Fill ...

Inverse trig functions worksheet

Inverse trig functions worksheet

Name_________________________________ Date________________ ...

Name_________________________________ Date________________ ...

Inverse Functions Colour by Number

Inverse Functions Colour by Number

Inverse Function Worksheets

Inverse Function Worksheets

Evaluating Inverse Functions | Teaching Resources

Evaluating Inverse Functions | Teaching Resources

1 7 study guide and intervention inverse relations and ...

1 7 study guide and intervention inverse relations and ...

finding the inverse of a function

finding the inverse of a function

Inverse of a Quadratic Function

Inverse of a Quadratic Function

Inverse Functions Worksheet 3, 7, 12, 13, 15, 17, 21, 23 ...

Inverse Functions Worksheet 3, 7, 12, 13, 15, 17, 21, 23 ...

Inverse Trig Functions Worksheets

Inverse Trig Functions Worksheets

Verify inverse functions (practice) | Khan Academy

Verify inverse functions (practice) | Khan Academy

Algebra 2 Worksheets | General Functions Worksheets

Algebra 2 Worksheets | General Functions Worksheets

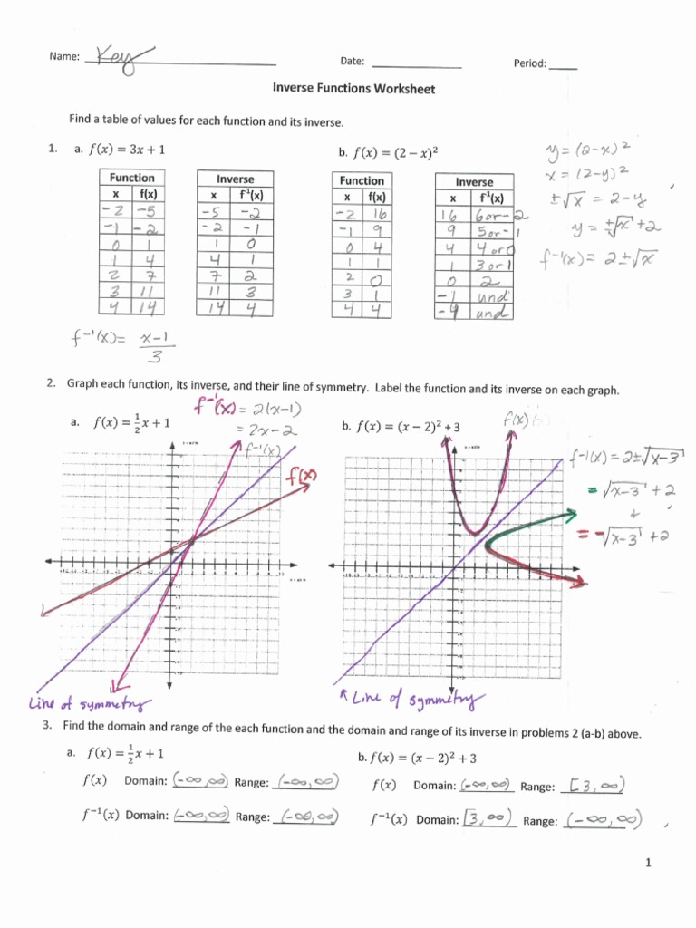
Inverse Functions Worksheet Key | PDF

Inverse Functions Worksheet Key | PDF

Domain And Range Of Linear Functions Examples - DONIMAIN

Domain And Range Of Linear Functions Examples - DONIMAIN

WS_1_6A_FunctionInverses.pdf - Worksheet 1.6A Inverse ...

WS_1_6A_FunctionInverses.pdf - Worksheet 1.6A Inverse ...

Inverse Functions Worksheet and Answer Key. Free 25 question ...

Inverse Functions Worksheet and Answer Key. Free 25 question ...

Inverse Functions - Mr-Mathematics.com

Inverse Functions - Mr-Mathematics.com

Inverse Function Worksheets

Inverse Function Worksheets

Inverse Trigonometric Functions: Compositions of ...

Inverse Trigonometric Functions: Compositions of ...

Quiz & Worksheet - Inverse Trigonometric Function Problems ...

Quiz & Worksheet - Inverse Trigonometric Function Problems ...

Precalculus Worksheet Name Section 4.7 Inverse Trig ...rpdp ...

Precalculus Worksheet Name Section 4.7 Inverse Trig ...rpdp ...

0 Response to "40 inverses of functions worksheet"

Post a Comment

Iklan Atas Artikel

Iklan Tengah Artikel 1

Iklan Tengah Artikel 2

Iklan Bawah Artikel