43 rationalizing the denominator worksheet kuta

Rationalizing the denominator worksheet - xuj.directonline.cloud Aug 02, 2017 · Rationalizing the denominator worksheet doc. Rationalizing the denominator worksheet algebra 1. Rationalizing the denominator worksheet kuta. Get it on Google Play Get it on Apple Store Bing users found us today by using these keywords : quadratic equation in matlab free translation worksheets HOLT MATHMETIC simultaneous equations excel third. Algebra equation solver algebra equation solver, Symbolab: equation search and math solver - solves algebra, trigonometry and calculus problems step by step Go Math Worksheets Grade 3 Activating Prior Knowledge - marinaradetfo from permutations and combinations worksheet answer key , source:marinaradet Land Bordering National Forest For Sale Desmos offers best-in-class calculators, digital. 165) …

Solving right triangles practice worksheet ©w wKeuwtra4 RSyoSfVt1wnayrne4 aLVLKC5.D t qAcl3lC NrqiigehKt6sL xrveJsaewrzvNeWd9.S B rM2aCdGeF lwtimtBhX cINnzfkiBnUiGtxev hA9lTgReybSrGaN f23.N Worksheet by Kuta Software LLC Answers to Worksheet #3 - Solving Right Triangles 1) m B 60°, a 1, b 1.7 2) m B 40.6°, m A 49.4°, c 9.2.

Rationalizing the denominator worksheet kuta

Rationalizing the denominator worksheet kuta

Completing the square worksheet doc - pgzu.tobias-schaell.de Function transformations worksheet Using Quadratic Formula Worksheet 2-28 evens, 52, 54 Worksheet 3-7 Kuta Date Due: Linear Regression Worksheet 1 Date Due: Solve each equation with the quadratic formula About this Workbook This workbook was created by mathematics instructors at Scottsdale Community College in Scottsdale, Arizona Edge. Add to ... white bodysuit women Weston Knit Bodysuit. $78.Quick add. Sure you have to get full naked to pee but whatever. Shop Reformation bodysuits.Like a swimsuit but for land. Reformation's sustainable bodysuits for women are a good option if you just want to throw something on and go or if you're over tucking shirts into pants. Microsoft is building an Xbox mobile gaming store to take on ... Oct 19, 2022 · Microsoft’s Activision Blizzard deal is key to the company’s mobile gaming efforts. Microsoft is quietly building a mobile Xbox store that will rely on Activision and King games.

Rationalizing the denominator worksheet kuta. Limits and continuous functions worksheet Quotient Rule: The limit of a quotient of two functions is the quotient of their limits, provided the limit of the denominator is not zero F G Limit Rule Examples Find the following limits using the above limit rules: 1. 2. ( ). Find the intervals on which each function is continuous. 1) f (x) = {x2 + 2x + 1, x < 1 ... Microsoft is building an Xbox mobile gaming store to take on ... Oct 19, 2022 · Microsoft’s Activision Blizzard deal is key to the company’s mobile gaming efforts. Microsoft is quietly building a mobile Xbox store that will rely on Activision and King games. white bodysuit women Weston Knit Bodysuit. $78.Quick add. Sure you have to get full naked to pee but whatever. Shop Reformation bodysuits.Like a swimsuit but for land. Reformation's sustainable bodysuits for women are a good option if you just want to throw something on and go or if you're over tucking shirts into pants. Completing the square worksheet doc - pgzu.tobias-schaell.de Function transformations worksheet Using Quadratic Formula Worksheet 2-28 evens, 52, 54 Worksheet 3-7 Kuta Date Due: Linear Regression Worksheet 1 Date Due: Solve each equation with the quadratic formula About this Workbook This workbook was created by mathematics instructors at Scottsdale Community College in Scottsdale, Arizona Edge. Add to ...

7.1R Simplifying Radicals 020316

7.1R Simplifying Radicals 020316

imaginary numbers worksheets - OceanHero

imaginary numbers worksheets - OceanHero

Simplify Radicals - Questions with Solutions for Grade 10

Simplify Radicals - Questions with Solutions for Grade 10

9.3 Simplifying Radicals. Square Roots Opposite of squaring a ...

9.3 Simplifying Radicals. Square Roots Opposite of squaring a ...

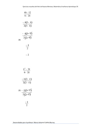
Ejercicios resueltos del libro de roxana meneses procesos 6

Ejercicios resueltos del libro de roxana meneses procesos 6

Rationalizing Imaginary Denominators - Kuta Software ...

Rationalizing Imaginary Denominators - Kuta Software ...

Multiplying and Dividing Radical Expressions

Multiplying and Dividing Radical Expressions

7.1R Simplifying Radicals 020316

7.1R Simplifying Radicals 020316

Lesson Worksheet:Domain and Range of a Rational Function | Nagwa

Lesson Worksheet:Domain and Range of a Rational Function | Nagwa

Rational Exponents and Radicals

Rational Exponents and Radicals

Kuta Tutorials: rationalizing imaginary denominators

Kuta Tutorials: rationalizing imaginary denominators

Skills Review - Rationalizing the Denominator

Skills Review - Rationalizing the Denominator

Radicals - Rationalizing the Denominator (Square Roots Only ...

Radicals - Rationalizing the Denominator (Square Roots Only ...

Infinite Algebra 2 - 2.1 Rationalizing denominators of ...

Infinite Algebra 2 - 2.1 Rationalizing denominators of ...

Free Printable Math Worksheets for Algebra 2

Free Printable Math Worksheets for Algebra 2

Kuta - Radicals - Rationalize Denominator.pdf - Google Drive

Kuta - Radicals - Rationalize Denominator.pdf - Google Drive

Rationalize the numerator worksheet

Rationalize the numerator worksheet

The Ardis Formerly Known as Mikkelsen: June 2015

The Ardis Formerly Known as Mikkelsen: June 2015

ESTUDO DE AVALIAÇÃO DO ACESSO AO AVEPARK

ESTUDO DE AVALIAÇÃO DO ACESSO AO AVEPARK

College Prep Algebra 2 Unit 4: Radical Expressions and ...

College Prep Algebra 2 Unit 4: Radical Expressions and ...

9. 4 – Intro to Logarithms Name:

9. 4 – Intro to Logarithms Name:

The radicand can have no perfect square factors (except 1 ...

The radicand can have no perfect square factors (except 1 ...

Rationalizing Imaginary Denominators - Kuta Software ...

Rationalizing Imaginary Denominators - Kuta Software ...

Elsinore High School

Elsinore High School

operations with imaginary numbers worksheet - OceanHero

operations with imaginary numbers worksheet - OceanHero

KutaSoftware: Algebra 1- Simplifying Radicals Part 1

KutaSoftware: Algebra 1- Simplifying Radicals Part 1

Elsinore High School

Elsinore High School

9. 4 – Intro to Logarithms Name:

9. 4 – Intro to Logarithms Name:

Extra Practice - Dividing Radical Binomials (Conjugate)

Extra Practice - Dividing Radical Binomials (Conjugate)

Kuta Tutorials: rationalizing imaginary denominators

Kuta Tutorials: rationalizing imaginary denominators

Rationalizing Imaginary Denominators

Rationalizing Imaginary Denominators

Linear Algebra with Applications - 8th Edition - Solutions ...

Linear Algebra with Applications - 8th Edition - Solutions ...

How to Solve Rationalizing Imaginary Denominators? (+FREE ...

How to Solve Rationalizing Imaginary Denominators? (+FREE ...

Rationalizing the Denominators Worksheets

Rationalizing the Denominators Worksheets

Radical Expressions and Equations

Radical Expressions and Equations

Untitled

Untitled

Algebra 2 Workbook Page 1

Algebra 2 Workbook Page 1

Jasmine+Thoele+-+Rationalize+Denominator+Worksheet.pdf - Name ...

Jasmine+Thoele+-+Rationalize+Denominator+Worksheet.pdf - Name ...

msbalboni

msbalboni

Math 4 SN - Multiplying and Dividing Radicals

Math 4 SN - Multiplying and Dividing Radicals

Rationalizing the Denominator

Rationalizing the Denominator

Rationalizing The Denominator With Conjugates Worksheet Pdf ...

Rationalizing The Denominator With Conjugates Worksheet Pdf ...

Rationalizing Imaginary Denominators - Kuta Software ...

Rationalizing Imaginary Denominators - Kuta Software ...

0 Response to "43 rationalizing the denominator worksheet kuta"

Post a Comment

Iklan Atas Artikel

Iklan Tengah Artikel 1

Iklan Tengah Artikel 2

Iklan Bawah Artikel